Practical antialiasing (part II)

CS 348B - Computer Graphics: Image Synthesis Techniques
Spring Quarter, 1996
Marc Levoy
Lecture notes for Thursday, April 18
Handout #14


Table of contents:

Press here for Part I of this lecture.








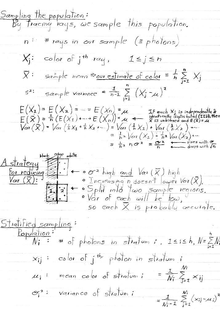
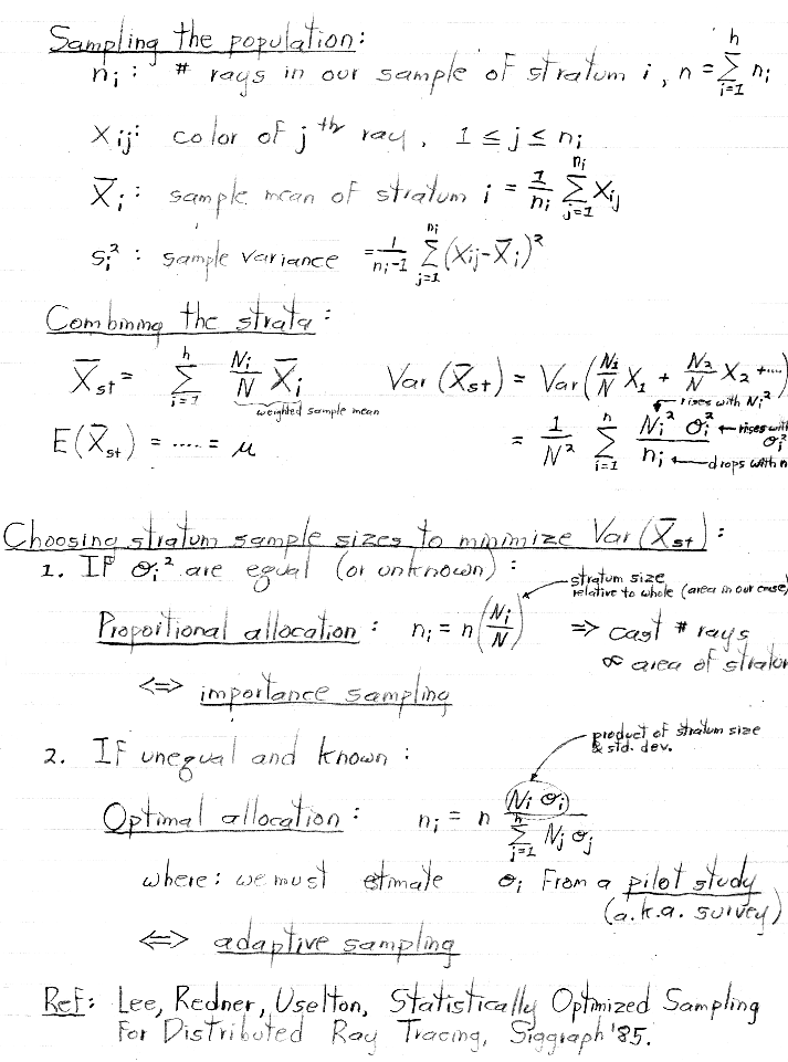
Press here for an image demonstrating adaptive sampling patterns, and here for an explanation.

Press here for application to polygon filtering (link to a lecture from 1995 version of CS 248).
levoy@cs.stanford.edu
Copyright © 1996 Marc Levoy
Last update: Friday, 20-Feb-1998 13:57:00 PST