Practical antialiasing (part I)

CS 348B - Computer Graphics: Image Synthesis Techniques
Spring Quarter, 1996
Marc Levoy
Lecture notes for Tuesday, April 16
Handout #13


Table of contents:

Press here for Part II of this lecture.







For a frequency domain analysis of supersampling, see H.O. #10.



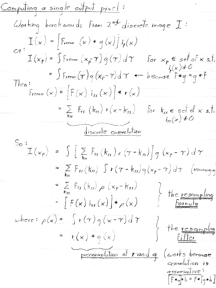
Press here for an image demonstrating supersampling patterns, and here for an explanation.
levoy@cs.stanford.edu
Copyright © 1996 Marc Levoy
Last update: Friday, 20-Feb-1998 13:57:01 PST