<html>
<head>
<title>
Global illumination (part III)
</title>
</head>
<body>

<h2>
Global illumination (part III)
</h2>

<blockquote>
CS 348B - Computer Graphics: Image Synthesis Techniques
<br>
Spring Quarter, 1997
<br>
Marc Levoy
<br>
Lecture notes for Tuesday, May 29
<br>
Handout #33
<br>
</blockquote>


<p>
<hr>

<h3>Table of contents:</h3>
<ul>
<li>	Computing form factors
	<ul>
	<li>	<a href="#Visibility">
		Visibility</a>
	<li>	<a href="#Analytic solutions">
		Analytic solutions</a>
	<li>	<a href="#Numerical solutions">
		Numerical solutions</a>
	</ul>
<li>	Accelerated radiosity methods
	<ul>
	<li>	<a href="#Hierarchical radiosity">
		Hierarchical radiosity</a>
	</ul>
<li>	<a href="#Radiosity versus distribution ray tracing">
	Radiosity versus distribution ray tracing</a>
<li>	Current research topics
	<ul>
	<li>	<a href="#Combined methods">
		Combined methods</a>
	<li>	<a href="#Explicitly representing directional radiance">
		Explicitly representing directional radiance</a>
	<li>	<a href="#Importance-driven radiosity">
		Importance-driven radiosity</a>
	<li>	<a href="#Discontinuity meshing">
		Discontinuity meshing</a>
	</ul>
</ul>

<p>
Press here for <a href="global1.html">Part I</a> of this lecture.
<br>
Press here for <a href="global2.html">Part II</a> of this lecture.
<br>

<p>
<hr>

<a name="Visibility"></a>
<img src="global18b.gif">
<hr>

<a name="Analytic solutions"></a>
<img src="global19.1.gif">
<hr>

<a name="Numerical solutions"></a>
<img src="global19.2.gif">
<hr>
<img src="global20.gif">
<hr>
<img src="global20.1.gif">
<hr>

<a name="Hierarchical radiosity"></a>
<img src="global21.gif">
<hr>
<img src="global23.gif">
<hr>
<img src="global24.gif">
<hr>
<img src="global25a.gif">
<hr>

<a name="Radiosity versus distribution ray tracing"></a>
<img src="global26b.gif">
<hr>

<a name="Combined methods"></a>
<img src="global27.gif">
<hr>

<a name="Explicitly representing directional radiance"></a>
<img src="global28.gif">
<hr>

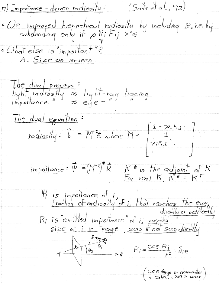
<a name="Importance-driven radiosity"></a>
<img src="global29.gif">
<hr>
<img src="global30.gif">
<hr>

<a name="Discontinuity meshing"></a>
<img src="global30.1.gif">
<hr>

<address>
levoy@cs.stanford.edu
</address>
<b>Copyright &copy; 1997 Marc Levoy</b>
<br>
Last update:
Friday, 20-Feb-1998 15:56:46 CST

</body>
</html>
