<html>
<head>
<title>
Global illumination (part II)
</title>
</head>
<body>

<h2>
Global illumination (part II)
</h2>

<blockquote>
CS 348B - Computer Graphics: Image Synthesis Techniques
<br>
Spring Quarter, 1997
<br>
Marc Levoy
<br>
Lecture notes for Tuesday, May 27
<br>
Handout #32
<br>
</blockquote>


<p>
<hr>

<h3>Table of contents:</h3>
<ul>
<li>	<a href="#Overview of the radiosity method">
	Overview of the radiosity method</a>
<li>	Energy balance for differential patches
	<ul>
	<li>	<a href="#Energy arriving at a differential patch">
		Energy arriving at a differential patch</a>
	<li>	<a href="#Energy reflected from a differential patch">
		Energy reflected from a differential patch</a>
	<li>	<a href="#Energy balance equation for a differential patch">
		Energy balance equation for a differential patch</a>
	</ul>
<li>	Energy balance for finite patches
	<ul>
	<li>	<a href="#Discretization">
		Discretization</a>
	<li>	<a href="#The radiosity equation">
		The radiosity equation</a>
	</ul>
<li>	Solving radiosity systems
	<ul>
	<li>	<a href="#Matrix formulation">
		Matrix formulation</a>
	<li>	<a href="#Properties of these systems">
		Properties of these systems</a>
	<li>	<a href="#Solution methods">
		Solution methods</a>
	<li>	<a href="#Display">
		Display</a>
	</ul>
</ul>

<p>
Press here for <a href="global1.html">Part I</a> of this lecture.
<br>
Press here for <a href="global3.html">Part III</a> of this lecture.
<br>

<p>
<hr>

<a name="Overview of the radiosity method"></a>
<img src="global13.gif">
<hr>

<a name="Energy arriving at a differential patch"></a>
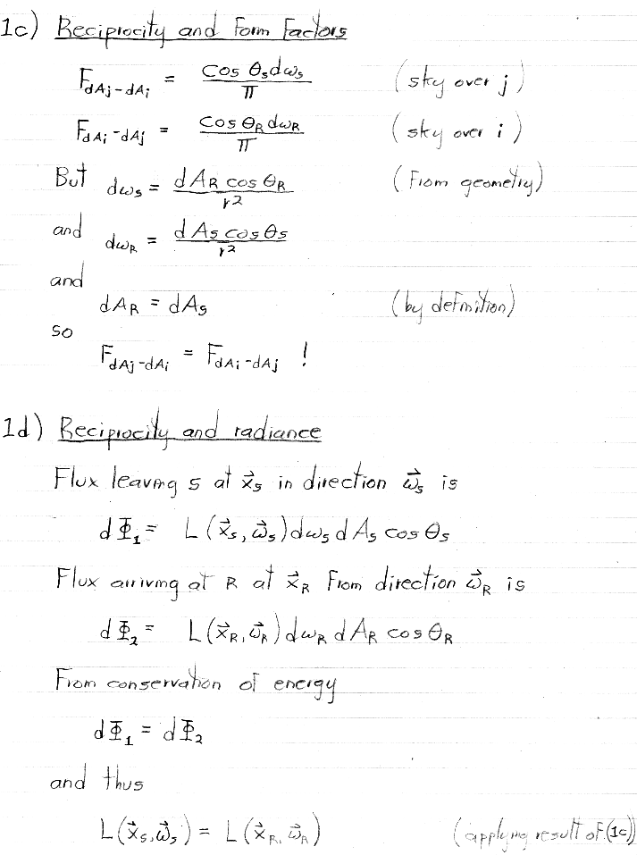
<img src="global14.gif">
<hr>
<img src="global15.gif">
<hr>

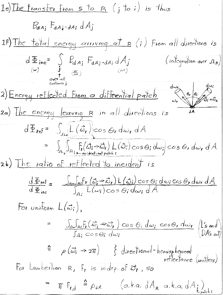
<a name="Energy reflected from a differential patch"></a>
<img src="global16.gif">
<hr>

<a name="Energy balance equation for a differential patch"></a>
<img src="global17a.gif">
<hr>

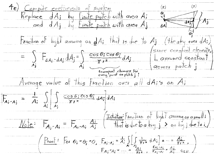
<a name="Discretization"></a>
<img src="global17.5.gif">
<hr>
<img src="global17b.gif">
<hr>

<a name="The radiosity equation"></a>
<img src="global18a.gif">
<hr>

<a name="Matrix formulation"></a>
<img src="global18c.gif">
<hr>

<a name="Properties of these systems"></a>
<a name="Solution methods"></a>
<img src="global18.5.gif">
<hr>
<img src="global19.gif">
<hr>

<a name="Display"></a>
<img src="global26a.gif">
<hr>

<address>
levoy@cs.stanford.edu
</address>
<b>Copyright &copy; 1997 Marc Levoy</b>
<br>
Last update:
Friday, 20-Feb-1998 15:56:45 CST

</body>
</html>
