Sampling theory (part II)
CS 348B - Computer Graphics: Image Synthesis Techniques
Spring Quarter, 1996
Marc Levoy
Lecture notes for Thursday, April 11
Handout #11
Table of contents:
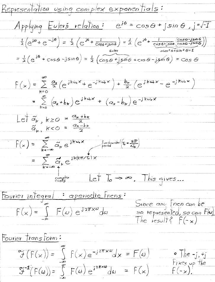
- Fourier analysis
- Sampling (continued)
- Application to computer graphics
Press here for Part I of this lecture.
levoy@cs.stanford.edu
Copyright © 1996 Marc Levoy
Last update:
Friday, 20-Feb-1998 15:56:55 CST