Sampling theory (part I)
CS 348B - Computer Graphics: Image Synthesis Techniques
Spring Quarter, 1996
Marc Levoy
Lecture notes for Tuesday, April 9
Handout #9
Table of contents:
- Introduction
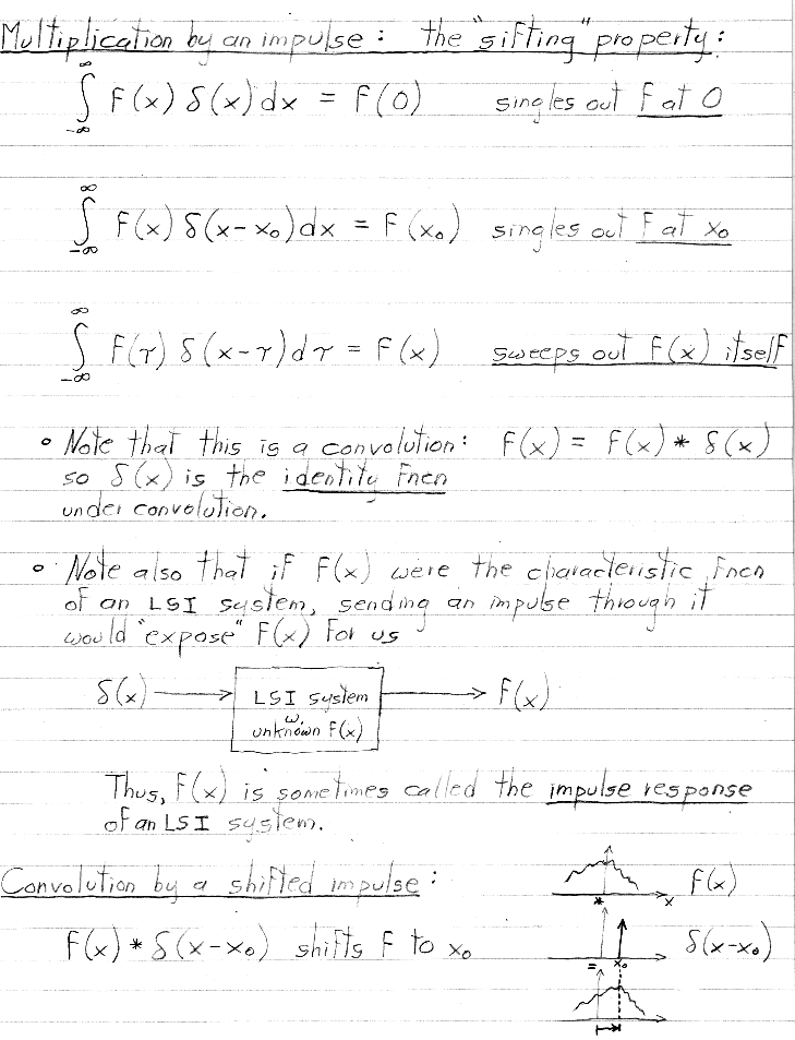
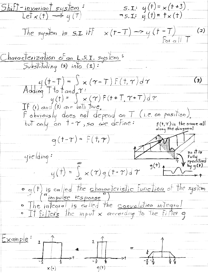
- Linear, shift-invariant systems
- Sampling in the spatial domain
Press here for Part II of this lecture.
levoy@cs.stanford.edu
Copyright © 1996 Marc Levoy
Last update:
Friday, 20-Feb-1998 15:56:55 CST