<html>
<head>
<title>
Light Transport and the Rendering Equation
</title>
</head>
<body>

<h2>
Light Transport and the Rendering Equation
</h2>

<blockquote>
CS 348B - Computer Graphics: Image Synthesis Techniques
<br>
Spring Quarter, 1997
<br>
Marc Levoy
<br>
Lecture notes for Thursday, May 1
<br>
Handout #21
<br>
</blockquote>


<p>
<hr>

<h3>Table of contents:</h3>
<ul>
<li>	Introduction
	<ul>
	<li>	<a href="#The goal of rendering">
		The goal of rendering</a>
	<li>	<a href="#The radiative heat transfer (a.k.a. light transport) approximation">
		The radiative heat transfer (a.k.a. light transport) approximation</a>
	<li>	<a href="#Assumptions of the light transport approximation">
		Assumptions of the light transport approximation</a>
	</ul>
<li>	The rendering equation
	<ul>
	<li>	<a href="#Three-point transport formulation">
		Three-point transport formulation</a>
	<li>	<a href="#Neumann series solutions">
		Neumann series solutions</a>
	<li>	<a href="#Some well-known truncated series">
		Some well-known truncated series</a>
	<li>	<a href="#Solutions based on discretization">
		Solutions based on discretization</a>
	</ul>
<li>	<a href="#From transport theory to radiometry">
	From transport theory to radiometry</a>
</ul>

<p>
<hr>

<a name="The goal of rendering"></a>
<a name="The radiative heat transfer (a.k.a. light transport) approximation"></a>
<img src="transport4.gif">
<hr>

<a name="Assumptions of the light transport approximation"></a>
<img src="transport5.gif">
<hr>

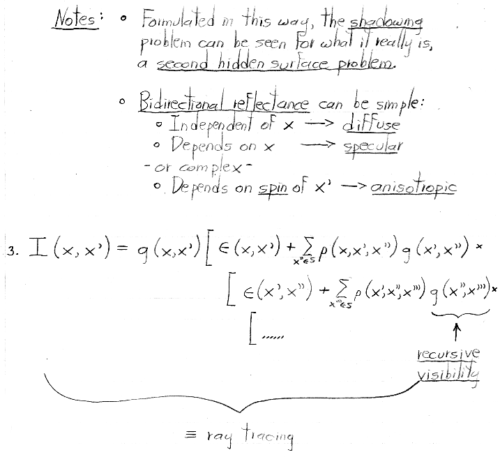
<a name="Three-point transport formulation"></a>
<img src="transport6.gif">
<hr>

<a name="Neumann series solutions"></a>
<img src="transport7.gif">
<hr>

<a name="Some well-known truncated series"></a>
<img src="transport8.gif">
<hr>
<img src="transport9.gif">
<hr>

<a name="Solutions based on discretization"></a>
<a name="From transport theory to radiometry"></a>
<img src="transport10.gif">
<hr>

<address>
levoy@cs.stanford.edu
</address>
<b>Copyright &copy; 1997 Marc Levoy</b>
<br>
Last update:
Friday, 20-Feb-1998 15:56:34 CST

</body>
</html>
