<html>
<head>
<title>
Texture mapping (part I)
</title>
</head>
<body>

<h2>
Texture mapping (part I)
</h2>

<blockquote>
CS 348B - Computer Graphics: Image Synthesis Techniques
<br>
Spring Quarter, 1997
<br>
Marc Levoy
<br>
Lecture notes for Tuesday, April 22
<br>
Handout #17
<br>
</blockquote>


<p>
<hr>

<h3>Table of contents:</h3>
<ul>
<li>	Parameterization and viewing
	<ul>
	<li>	<a href="#The classic rendering pipeline">
		The classic rendering pipeline</a>
	<li>	<a href="#Compound texture -> image mapping">
		Compound texture -> image mapping</a>
	<li>	<a href="#Ray tracing a textured sphere">
		Ray tracing a textured sphere</a>
	</ul>
<li>	Resampling in 1D
	<ul>
	<li>	<a href="#Introduction">Introduction</a>
	<li>	<a href="#Minification">Minification</a>
	<li>	<a href="#Magnification">Magnification</a>
	<li>	Frequency domain analysis of
		<a href="../antialiasing/supersamplingHO.html">minification</a>
		(in the context of supersampling) (HO #11)
	<li>	Frequency domain analysis of
		<a href="../texturing/resamplingHO.html">magnification</a>
		(HO #16)
	<li>	<a href="#Summary">Summary</a>
	</ul>
<li>	Resampling in 2D
	<ul>
	<li>	<a href="#Some common warps">
		Some common warps</a>
	<li>	<a href="#Algebraic formulation">
		Algebraic formulation</a>
	<li>	<a href="#Geometric interpretation of the Jacobian determinant">
		Geometric interpretation of the Jacobian determinant</a>
	<li>	<a href="#Projective (i.e. perspective) warps">
		Projective (i.e. perspective) warps</a>
	</ul>
</ul>

<p>
Press here for <a href="texturing2.html">Part II</a> of this lecture.

<p>
<hr>

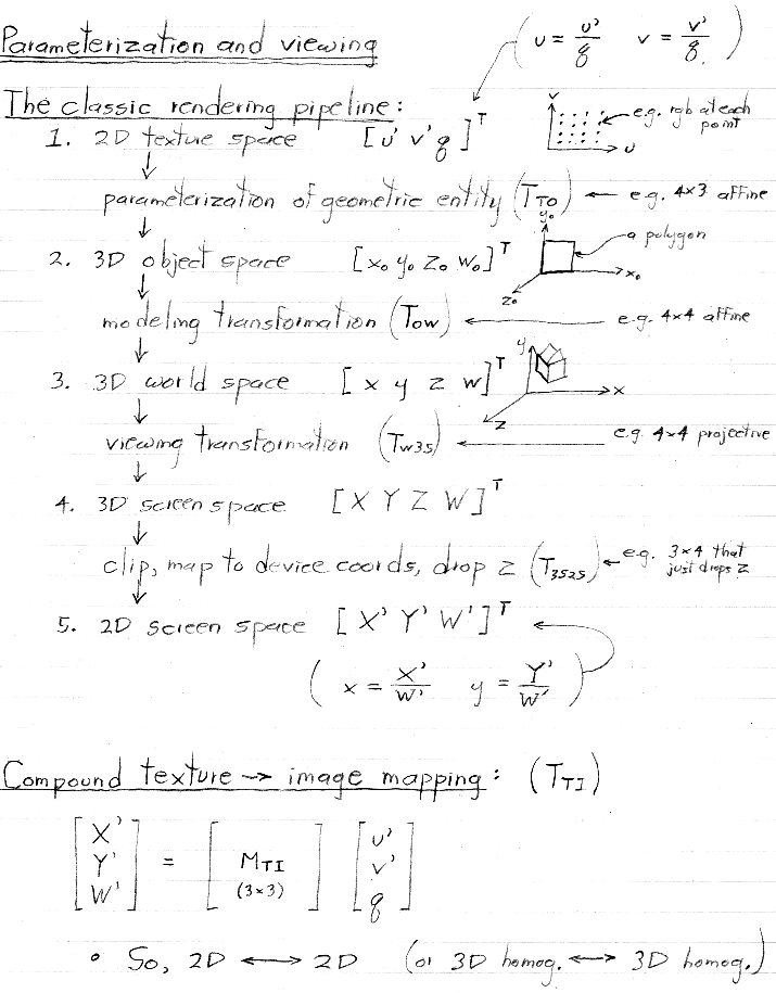
<a name="The classic rendering pipeline"></a>
<a name="Compound texture -> image mapping"></a>
<img src="texturing4.gif">
<hr>

<a name="Ray tracing a textured sphere"></a>
<img src="texturing5.gif">
<hr>
<img src="texturing6.gif">
<hr>

<a name="Introduction"></a>
<a name="Minification"></a>
<a name="Magnification"></a>
<img src="texturing8.gif">
<br>
Press here for a frequency domain analysis of
<a href="../antialiasing/supersamplingHO.html">minification</a>
(in the context of supersampling) (HO #11).
<br>
Press here for a frequency domain analysis of
<a href="../texturing/resamplingHO.html">magnification</a>
(thus completing our analysis of resampling) (HO #16).
<hr>

<a name="Summary"></a>
<img src="texturing10.gif">
<hr>

<a name="Some common warps"></a>
<img src="texturing11.gif">
<hr>

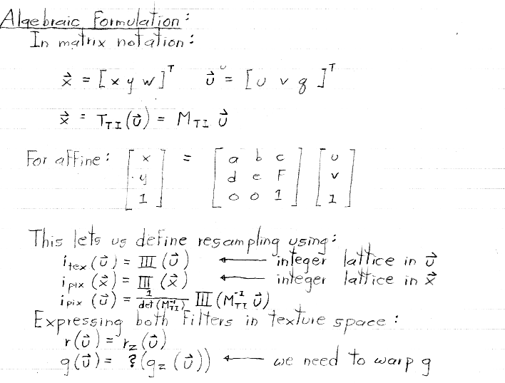
<a name="Algebraic formulation"></a>
<img src="texturing12.gif">
<hr>
<img src="texturing13.gif">
<hr>

<a name="Geometric interpretation of the Jacobian determinant"></a>
<img src="texturing13.1.gif">
<hr>

<a name="Projective (i.e. perspective) warps"></a>
<img src="texturing14.gif">
<hr>

<address>
levoy@cs.stanford.edu
</address>
<b>Copyright &copy; 1997 Marc Levoy</b>
<br>
Last update:
Friday, 20-Feb-1998 13:56:32 PST

</body>
</html>
