<html>
<head>
<title>
Sampling theory (part II)
</title>
</head>
<body>

<h2>
Sampling theory (part II)
</h2>

<blockquote>
CS 348B - Computer Graphics: Image Synthesis Techniques
<br>
Spring Quarter, 1997
<br>
Marc Levoy
<br>
Lecture notes for Thursday, April 11
<br>
Handout #10
<br>
</blockquote>


<p>
<hr>

<h3>Table of contents:</h3>
<ul>
<li>	Fourier analysis
	<ul>
	<li>	<a href="#Periodic functions">Periodic functions</a>
	<li>	<a href="#Fourier series">Fourier series</a>
	<li>	<a href="#Example">Example</a>
	<li>	<a href="#Spectra">Spectra</a>
	<li>	<a href="#Representation using complex exponentials">
		Representation using complex exponentials</a>
	<li>	<a href="#Fourier integral">Fourier integral</a>
	<li>	<a href="#Fourier transform">Fourier transform</a>
	<li>	<a href="#Example of a transform">Example of a transform</a>
	<li>	<a href="#2D Fourier transform">2D Fourier transform</a>
	<li>	<a href="#The similarity theorem">The similarity theorem</a>
	<li>	<a href="#The shift theorem">The shift theorem</a>
	<li>	<a href="#The convolution theorem">The convolution theorem</a>
	<li>	<a href="#Dualities">Dualities</a>
	</ul>
<li>	Sampling (continued)
	<ul>
	<li>	<a href="#Sampling in the frequency domain">
		Sampling in the frequency domain</a>
	<li>	<a href="#Reconstruction">Reconstruction</a>
	<li>	<a href="samplingHO.html">
		Graphical depiction of sampling and aliasing</a>
		(H.O. #6)
	</ul>
<li>	Application to computer graphics
	<ul>
	<li>	<a href="#Spatial aliasing">Spatial aliasing</a>
	<li>	<a href="#Temporal aliasing">Temporal aliasing</a>
	</ul>
</ul>

<p>
Press here for <a href="sampling1.html">Part I</a> of this lecture.

<p>
<hr>

<a name="Periodic functions"></a>
<img src="sampling9b.gif">
<hr>

<a name="Fourier series"></a>
<a name="Example"></a>
<a name="Spectra"></a>
<img src="sampling10.gif">
<hr>

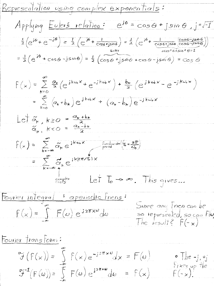
<a name="Representation using complex exponentials"></a>
<a name="Fourier integral"></a>
<a name="Fourier transform"></a>
<img src="sampling11.gif">
<hr>

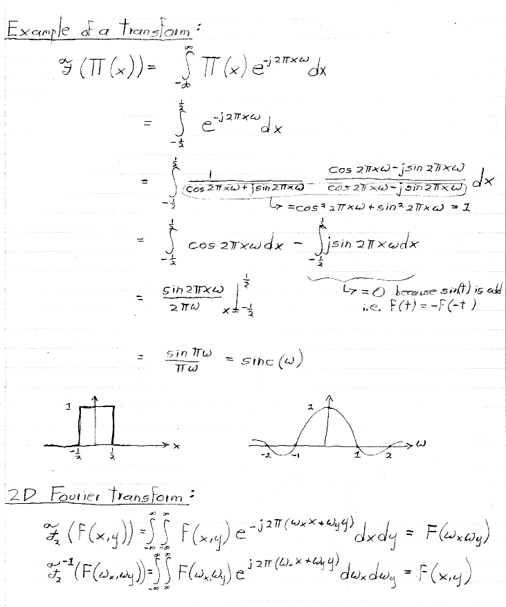
<a name="Example of a transform"></a>
<a name="2D Fourier transform"></a>
<img src="sampling12.gif">
<hr>

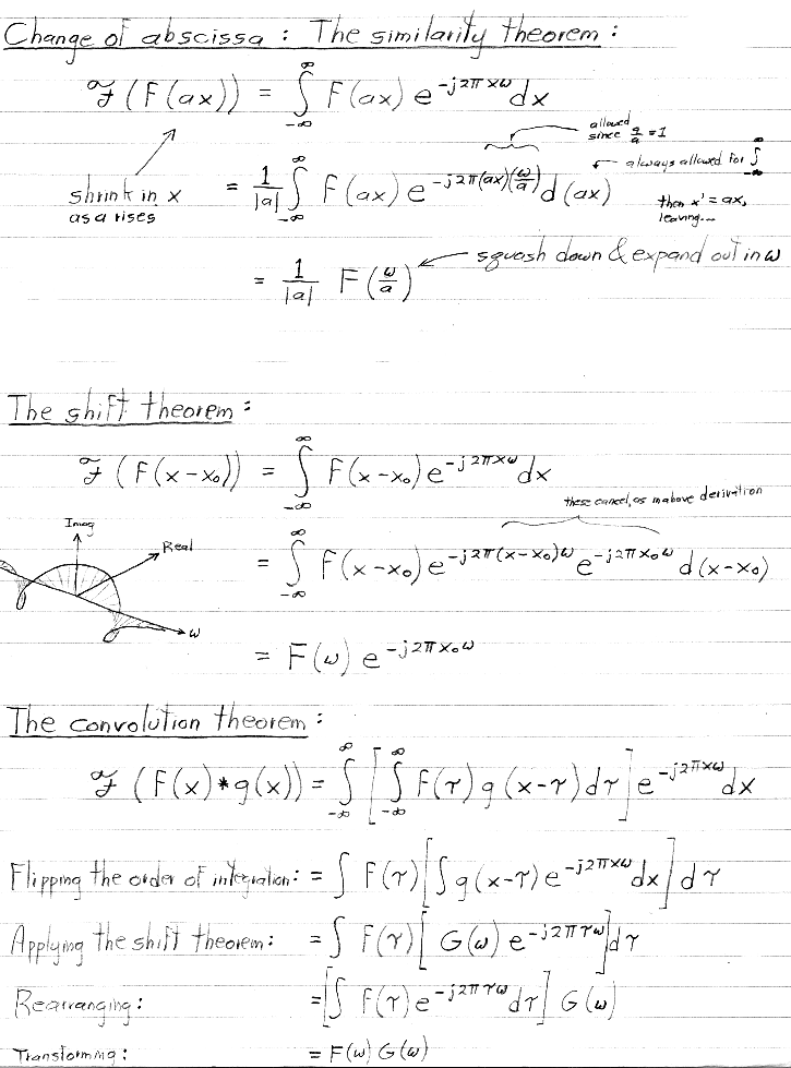
<a name="The similarity theorem"></a>
<a name="The shift theorem"></a>
<a name="The convolution theorem"></a>
<img src="sampling14.gif">
<hr>

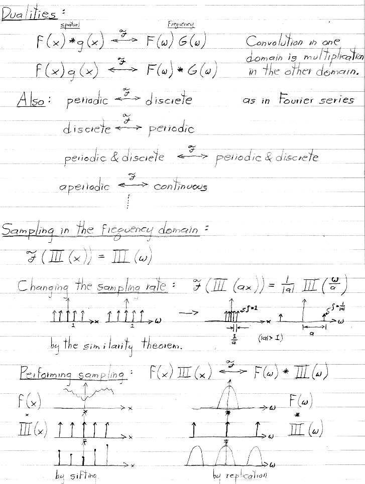
<a name="Dualities"></a>
<a name="Sampling in the frequency domain"></a>
<img src="sampling15.gif">
<hr>

<a name="Reconstruction"></a>
<img src="sampling16.gif">

For a graphical depiction of sampling and aliasing, see
<a href="samplingHO.html">handout #6</a>
<hr>

<a name="Spatial aliasing"></a>
<a name="Temporal aliasing"></a>
<img src="sampling17.gif">
<hr>

<address>
levoy@cs.stanford.edu
</address>
<b>Copyright &copy; 1997 Marc Levoy</b>
<br>
Last update:
Tuesday, 07-Apr-1998 20:32:59 CDT

</body>
</html>
