<html>
<head>
<title>
Local illumination (part I)
</title>
</head>
<body>

<h2>
Local illumination (part I)
</h2>

<blockquote>
CS 348B - Computer Graphics: Image Synthesis Techniques
<br>
Spring Quarter, 1997
<br>
Marc Levoy
<br>
Lecture notes for Tuesday, May 6
<br>
Handout #23
<br>
</blockquote>


<p>
<hr>

<h3>Table of contents:</h3>
<ul>
<li>	Basic radiometry
	<ul>
	<li>	<a href="#Flux">
		Flux</a>
	<li>	<a href="#Irradiance">
		Irradiance</a>
	<li>	<a href="#Radiant intensity">
		Radiant intensity</a>
	<li>	<a href="#Radiance">
		Radiance</a>
	</ul>
<li>	Illumination
	<ul>
	<li>	<a href="#Point -> area transport">
		Point -> area transport</a> (point light sources)
	<li>	<a href="#Area -> point transport">
		Area -> point transport</a> (area light sources)
	<li>	<a href="#Area -> area transport">
		Area -> area transport</a> (image formation)
	</ul>
</ul>

<p>
Press here for <a href="local2.html">Part II</a> of this lecture.

<p>
<hr>

<a name="Flux"></a>
<a name="Irradiance"></a>
<a name="Radiant intensity"></a>
<a name="Radiance"></a>
<img src="local11.gif">
<hr>

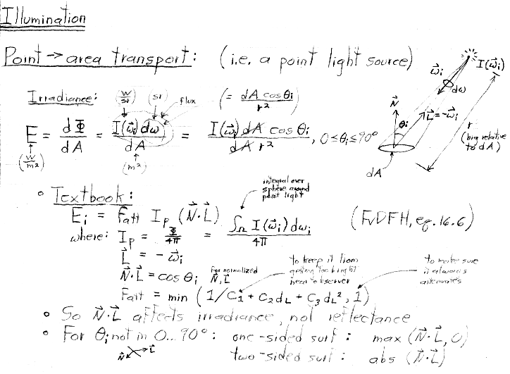
<a name="Point -> area transport"></a>
<img src="local12a.gif">
<hr>

<a name="Area -> point transport"></a>
<img src="local13.gif">
<hr>

<a name="Area -> area transport"></a>
<img src="local14.gif">
<hr>

<address>
levoy@cs.stanford.edu
</address>
<b>Copyright &copy; 1997 Marc Levoy</b>
<br>
Last update:
Friday, 20-Feb-1998 13:56:47 PST

</body>
</html>
