<html>
<head>
<title>
Practical antialiasing (part I)
</title>
</head>
<body>

<h2>
Practical antialiasing (part I)
</h2>

<blockquote>
CS 348B - Computer Graphics: Image Synthesis Techniques
<br>
Spring Quarter, 1997
<br>
Marc Levoy
<br>
Lecture notes for Tuesday, April 15
<br>
Handout #13
<br>
</blockquote>


<p>
<hr>

<h3>Table of contents:</h3>
<ul>
<li>	What's the best way to prevent aliasing?
	<ul>
	<li>	<a href="#Raising the sampling rate versus filtering">
		Raising the sampling rate versus filtering</a>
	<li>	<a href="#Sidebar: vernier acuity">
		Sidebar: vernier acuity</a>
	<li>	<a href="#Problem: fixed resolution displays">
		Problem: fixed resolution displays</a>
	</ul>
<li>	Supersampling followed by resampling
	<ul>
	<li>	<a href="#Overview">Overview</a>
	<li>	<a href="#Computing a single output pixel">
		Computing a single output pixel</a>
	<li>	<a href="#Supersampling versus filtering">
		Supersampling versus filtering</a>
	<li>	<a href="supersamplingHO.html">
		Examples of supersampling and averaging down</a>
		(H.O. #11)
	</ul>
<li>	Practical supersampling
	<ul>
	<li>	<a href="#Algorithm 1: regular supersampling">
		Algorithm 1: regular supersampling</a>
	<li>	<a href="#Stochastic sampling and human vision">
		Stochastic sampling and human vision</a>
	<li>	<a href="#An analysis of stochastic sampling">
		An analysis of stochastic sampling</a>
	<li>	Analysis continues on<a href="jitteredHO.html">
		handout #12</a>
	<li>	<a href="#Human vision, reconsidered">
		Human vision, reconsidered</a>
	<li>	<a href="#Algorithm 2: practical stochastic supersampling">
		Algorithm 2: practical stochastic supersampling</a>
	<li>	<a href="demosupersamp_fullsize.tif">
		Image demonstrating supersampling patterns</a> and
		<a href="demosupersamp.README">explanation</a>
	</ul>
</ul>

<p>
Press here for <a href="antialiasing2.html">Part II</a> of this lecture.

<p>
<hr>

<a name="Raising the sampling rate versus filtering"></a>
<img src="antialiasing2a.gif">
<hr>

<a name="Sidebar: vernier acuity"></a>
<img src="antialiasing3.gif">
<hr>

<a name="Problem: fixed resolution displays"></a>
<img src="antialiasing2b.gif">
<hr>

<a name="Overview"></a>
<img src="antialiasing4.gif">
<hr>

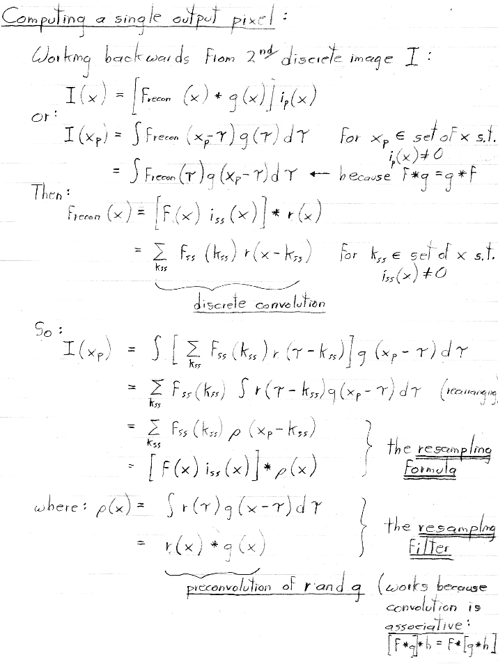
<a name="Computing a single output pixel"></a>
<img src="antialiasing5.gif">
<hr>

<a name="Supersampling versus filtering"></a>
<img src="antialiasing6.gif">

For more examples of supersampling and averaging down, see
<a href="supersamplingHO.html">handout #11</a>
<hr>

<a name="Algorithm 1: regular supersampling"></a>
<img src="antialiasing7.gif">
<hr>

<a name="Stochastic sampling and human vision"></a>
<img src="antialiasing8a.gif">
<hr>

<a name="An analysis of stochastic sampling"></a>
<img src="antialiasing9.gif">

This analysis is continued on
<a href="jitteredHO.html">handout #12</a>
<hr>

<a name="Human vision, reconsidered"></a>
<img src="antialiasing8b.gif">
<hr>

<a name="Algorithm 2: practical stochastic supersampling"></a>
<img src="antialiasing10.gif">

Press here for an
<a href="demosupersamp_fullsize.tif">
image demonstrating supersampling patterns</a>,
and here for an
<a href="demosupersamp.README">explanation</a>.

<hr>

<address>
levoy@cs.stanford.edu
</address>
<b>Copyright &copy; 1997 Marc Levoy</b>
<br>
Last update:
Friday, 20-Feb-1998 13:56:35 PST

</body>
</html>
