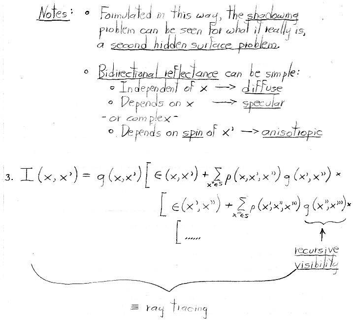
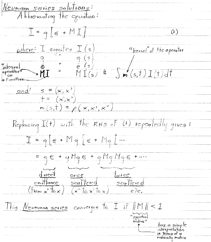
Light Transport and the Rendering Equation

CS 348B - Computer Graphics: Image Synthesis Techniques
Spring Quarter, 1996
Marc Levoy
Lecture notes for Tuesday, April 30
Handout #20


Table of contents:









levoy@cs.stanford.edu
Copyright © 1996 Marc Levoy
Last update: Friday, 20-Feb-1998 15:57:00 CST