Texture mapping (part I)
CS 348B - Computer Graphics: Image Synthesis Techniques
Spring Quarter, 1996
Marc Levoy
Lecture notes for Tuesday, April 23
Handout #17
Table of contents:
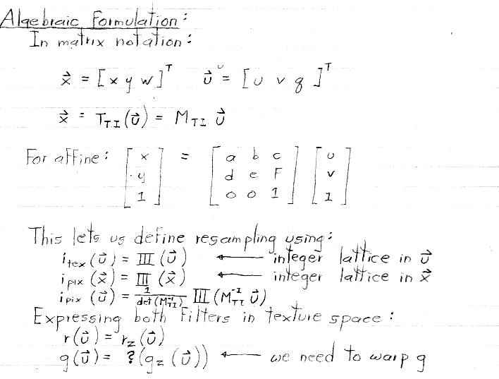
- Parameterization and viewing
- Resampling in 1D
- Resampling in 2D
Press here for Part II of this lecture.
Press here for a frequency domain analysis of
minification
(in the context of supersampling) (HO #10).
Press here for a frequency domain analysis of
magnification
(thus completing our analysis of resampling) (HO #16).
levoy@cs.stanford.edu
Copyright © 1996 Marc Levoy
Last update:
Friday, 20-Feb-1998 15:56:57 CST