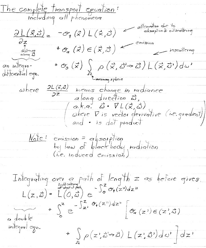
Participating media

CS 348B - Computer Graphics: Image Synthesis Techniques
Spring Quarter, 1996
Marc Levoy
Lecture notes for Tuesday, June 4
Handout #33


Table of contents:






levoy@cs.stanford.edu
Copyright © 1996 Marc Levoy
Last update: Friday, 20-Feb-1998 13:57:13 PST