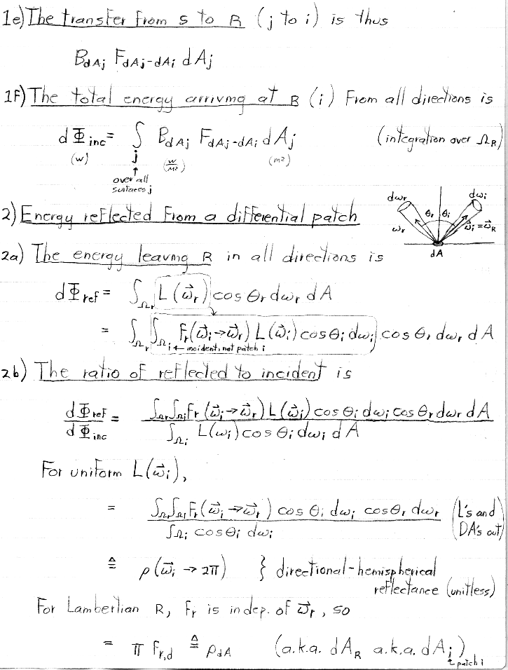
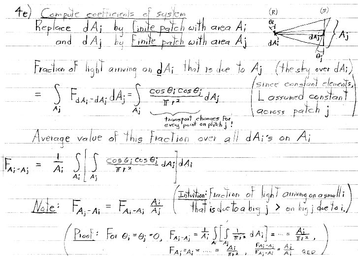
Global illumination (part III)

CS 348B - Computer Graphics: Image Synthesis Techniques
Spring Quarter, 1996
Marc Levoy
Lecture notes for Thursday, May 23
Handout #30


Table of contents:

Press here for Part I of this lecture.
Press here for Part II of this lecture.
Press here for Part IV of this lecture.
Press here for Part V of this lecture.














levoy@cs.stanford.edu
Copyright © 1996 Marc Levoy
Last update: Friday, 20-Feb-1998 15:57:12 CST