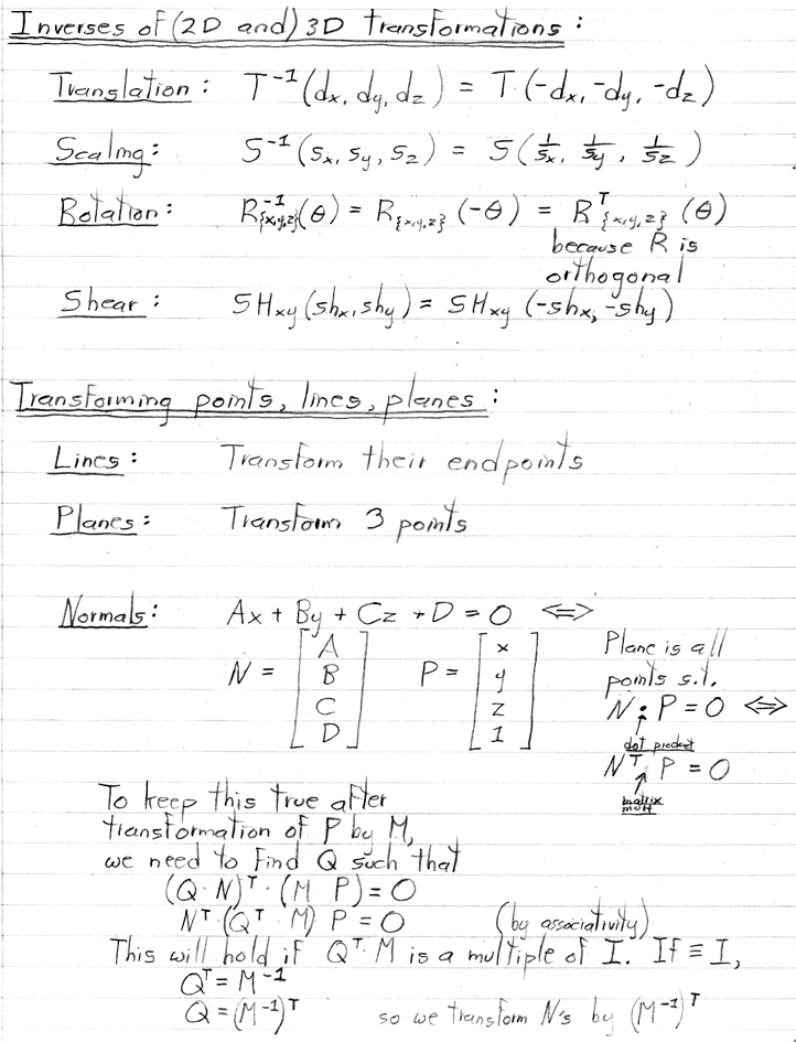
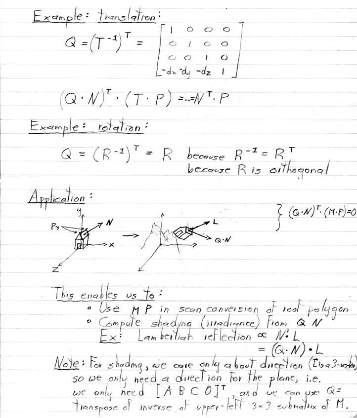
3D transformations

CS 248 - Introduction to Computer Graphics
Autumn Quarter, 1999
Marc Levoy
Lecture notes for Thursday, October 28


Table of contents:










levoy@cs.stanford.edu
Copyright © 1999 Marc Levoy
Last update: November 1, 1999 08:40:45 PM