<html>
<head>
<title>
3D transformations
</title>
</head>
<body>

<h2>
3D transformations
</h2>

<blockquote>
CS 248 - Introduction to Computer Graphics
<br>
Spring Quarter, 1995
<br>
Marc Levoy
<br>
Lecture notes for Thursday, May 11
<br>
</blockquote>


<p>
<hr>

<h3>Table of contents:</h3>
<ul>
<li>	<a href="#Modeling hierarchies">
	Modeling hierarchies</a>
<li>	<a href="#Homogeneous representation of 3D transformations">
	Homogeneous representation of 3D transformations</a>
<li>	<a href="#Inverses of 2D (and 3D) transformations">
	Inverses of 2D (and 3D) transformations</a>
<li>	<a href="#Transforming points, lines, planes">
	Transforming points, lines, planes</a>
<li>	<a href="#Taxonomy of mappings">
	Taxonomy of mappings</a>
</ul>

<p>
<hr>

<a name="Modeling hierarchies"></a>
<img src="xform9.gif">
<hr>

<a name="Homogeneous representation of 3D transformations"></a>
<img src="xform10.gif">
<hr>

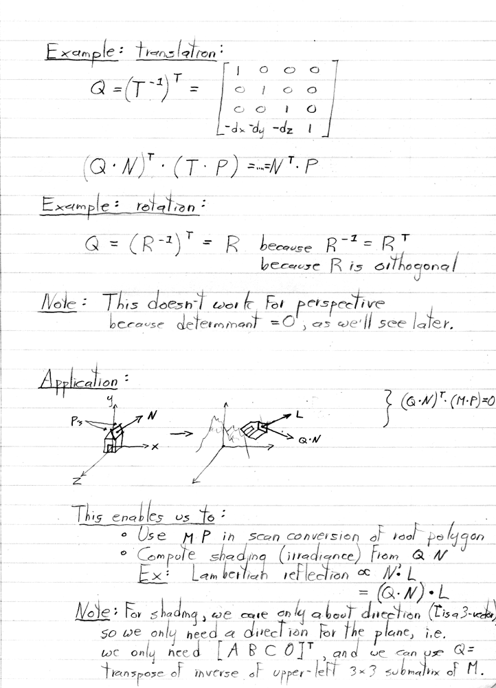
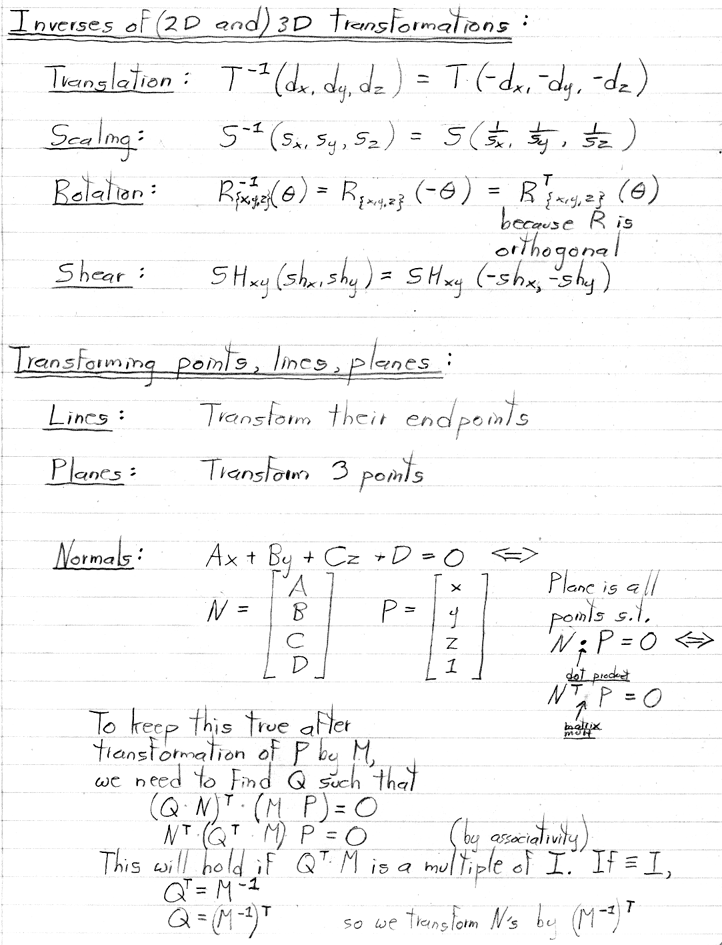
<a name="Inverses of 2D (and 3D) transformations"></a>
<a name="Transforming points, lines, planes"></a>
<img src="xform11.gif">
<hr>
<img src="xform12.gif">
<hr>

<a name="Taxonomy of mappings"></a>
<img src="xform14.gif">
<hr>
<img src="xform15.gif">
<hr>
<img src="xform16.gif">
<hr>

<address>
levoy@cs.stanford.edu
</address>
Friday, 20-Feb-1998 13:46:48 PST

</body>
</html>
