<html>
<head>
<title>
2D transformations
</title>
</head>
<body>

<h2>
2D transformations
</h2>

<blockquote>
CS 248 - Introduction to Computer Graphics
<br>
Spring Quarter, 1995
<br>
Marc Levoy
<br>
Lecture notes for Tuesday, May 9 (second half of class period)
<br>
</blockquote>


<p>
<hr>

<h3>Table of contents:</h3>
<ul>
<li>	<a href="#2D transformations">
	2D transformations</a>
<li>	<a href="#Column versus row spaces">
	Column versus row spaces</a>
<li>	<a href="#Homogeneous coordinates">
	Homogeneous coordinates</a>
<li>	<a href="#Homogeneous representation of 2D transformations">
	Homogeneous representation of 2D transformations</a>
<li>	<a href="#Composition of 2D transformations">
	Composition of 2D transformations</a>
</ul>

<p>
<hr>

<a name="2D transformations"></a>
<img src="xform2.gif">
<hr>
<img src="xform3.gif">
<hr>

<a name="Column versus row spaces"></a>
<img src="xform4.gif">
<hr>
<img src="xform5.gif">
<hr>

<a name="Homogeneous coordinates"></a>
<img src="xform6.gif">
<hr>

<a name="Homogeneous representation of 2D transformations"></a>
<img src="xform7.gif">
<hr>

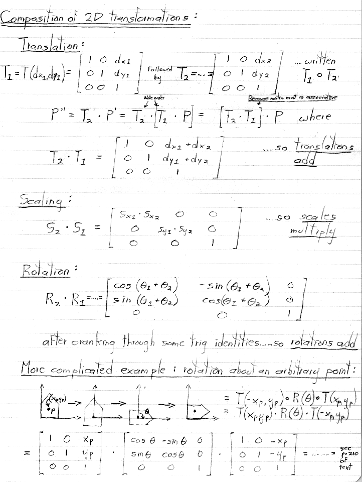
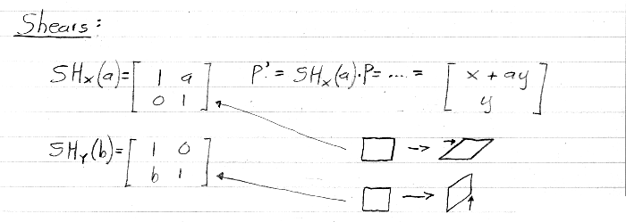
<a name="Composition of 2D transformations"></a>
<img src="xform8.gif">
<hr>

<address>
levoy@cs.stanford.edu
</address>
Friday, 20-Feb-1998 15:46:49 CST

</body>
</html>
