<html>
<head>
<title>
Scan conversion of lines
</title>
</head>
<body>

<h2>
Scan conversion of lines
</h2>

<blockquote>
CS 248 - Introduction to Computer Graphics
<br>
Spring Quarter, 1995
<br>
Marc Levoy
<br>
Lecture notes for Tuesday, April 25
<br>
</blockquote>


<p>
<hr>

<h3>Table of contents:</h3>
<ul>
<li>	<a href="#Overview of 3D rendering pipeline">
	Overview of 3D rendering pipeline</a>
<li>	<a href="#Sidebar: What is a pixel?">
	Sidebar: What is a pixel?</a>
<li>	Line drawing
	<ol>
	<li>	<a href="#Assumptions">
		Assumptions</a>
	<li>	<a href="#Brute force algorithm">
		Brute force algorithm</a>
	<li>	<a href="#DDA algorithm">
		DDA algorithm</a>
	<li>	<a href="#Bresenham algorithm">
		Bresenham algorithm</a>
	<li>	<a href="#What do real workstations use?">
		What do real workstations use?</a>
	</ol>
<li>	<a href="#Design issues for line drawing algorithms">
	Design issues for line drawing algorithms</a>
</ul>

<p>
<hr>

<a name="Overview of 3D rendering pipeline"></a>
<img src="scan2.gif">
<hr>

<a name="Sidebar: What is a pixel?"></a>
<img src="scan2.1.gif">
<hr>

<a name="Assumptions"></a>
<a name="Brute force algorithm"></a>
<img src="scan3.gif">
<hr>

<a name="DDA algorithm"></a>
<a name="Bresenham algorithm"></a>
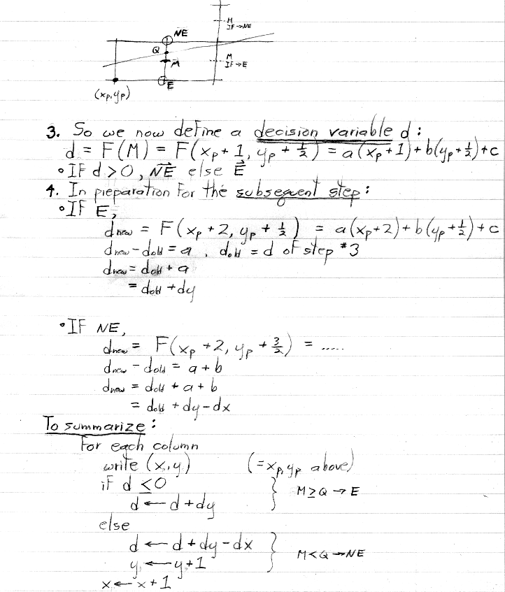
<img src="scan4a.gif">
<img src="scan4b.gif">
<img src="scan4c.gif">
<hr>
<img src="scan5.gif">
<hr>

<a name="What do real workstations use?"></a>
<img src="scan5.1.gif">
<hr>

<a name="Design issues for line drawing algorithms"></a>
<img src="scan6.gif">
<hr>
<img src="scan7.gif">
<hr>

<address>
levoy@cs.stanford.edu
</address>
Friday, 20-Feb-1998 13:46:38 PST

</body>
</html>
