<html>
<head>
<title>
Frame buffers, colormaps, dithering
</title>
</head>
<body>

<h2>
Frame buffers, colormaps, dithering
</h2>

<blockquote>
CS 248 - Introduction to Computer Graphics
<br>
Spring Quarter, 1995
<br>
Marc Levoy
<br>
Lecture notes for Tuesday, April 18
<br>
</blockquote>


<p>
<hr>
<em>Hardcopies of these notes are available in the cabinets behind
Sarah's office.</em>
<hr>

<h3>Table of contents:</h3>
<ul>
<li>	<a href="#Raster display systems architecture">
	Raster display systems architecture</a>
<li>	Colormapping
	<ol>
	<li>	<a href="#rgb frame buffer">
		rgb frame buffer</a>
	<li>	<a href="#colormapped frame buffer">
		colormapped frame buffer</a>
	<li>	<a href="#Things you can do in a colormapped frame buffer">
		Things you can do in a colormapped frame buffer</a>
	<li>	<a href="#Things you can't do in a colormapped frame buffer">
		Things you can't do in a colormapped frame buffer</a>
	</ol>
<li>	Color quantization and dithering
	<ol>
	<li>	<a href="#Quantization without dithering">
		Quantization without dithering</a>
	<li>	<a href="#Quantization with dithering">
		Quantization with dithering</a>
	<li>	<a href="#Adaptive quantization">
		Adaptive quantization</a>
	<li>	<a href="#Custom colormaps">
		Custom colormaps</a>
	</ol>
</ul>

<p>
<hr>

<a name="Raster display systems architecture"></a>
<img src="raster2.gif">
<hr>

<a name="rgb frame buffer"></a>
<a name="colormapped frame buffer"></a>
<a name="Things you can do in a colormapped frame buffer"></a>
<img src="raster3.gif">
<hr>

<a name="Things you can't do in a colormapped frame buffer"></a>
<img src="raster3.1.gif">
<hr>

<a name="Quantization without dithering"></a>
<img src="raster4.gif">
<hr>
<img src="raster5.gif">
<hr>

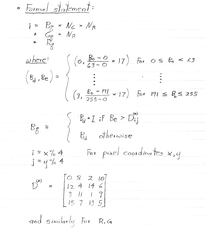
<a name="Quantization with dithering"></a>
<img src="raster6.gif">
<hr>
<img src="raster7.gif">
<hr>
<img src="raster8.gif">
<hr>

<a name="Adaptive quantization"></a>
<a name="Custom colormaps"></a>
<img src="raster9.gif">
<hr>

<address>
levoy@cs.stanford.edu
</address>
Friday, 20-Feb-1998 13:46:41 PST

</body>
</html>
