<html>
<head>
<title>
Perspective viewing and clipping (part II)
</title>
</head>
<body>

<h2>
Perspective viewing and clipping (part II)
</h2>

<blockquote>
CS 248 - Introduction to Computer Graphics
<br>
Spring Quarter, 1995
<br>
Marc Levoy
<br>
Lecture notes for Thursday, May 18
<br>
</blockquote>


<p>
<hr>

<h3>Table of contents:</h3>
<ul>
<li>	Mathematics of planar geometric projections
	<ul>
	<li>	<a href="#Derivation of 3D - 2D perspective matrix">
		Derivation of 3D - 2D perspective matrix</a>
	<li>	<a href="#Homogeneous formulation, 3D - distorted 3D">
		Homogeneous formulation, 3D - distorted 3D</a>
	<li>	<a href="#Source and target spaces">
		Source and target spaces</a>
	<li>	<a href="#Derivation for x' and y'">
		Derivation for x' and y'</a>
	<li>	<a href="#Derivation for z'">
		Derivation for z'</a>
	</ul>
<li>	The transformation and clipping pipeline
	<ul>
	<li>	<a href="#Clipping before versus after homogenization">
		Clipping before versus after homogenization</a>
	<li>	<a href="#The matrix we derived versus the SGI matrix">
		The matrix we derived versus the SGI matrix</a>
	<li>	<a href="#Summary of pipeline">
		Summary of pipeline</a>
	</ul>
<li>	Perspective and supersampling
	<ul>
	<li>	<a href="#Continuous convolution, one pixel">
		Continuous convolution, one pixel</a>
	<li>	<a href="#Discrete convolution, all pixels">
		Discrete convolution, all pixels</a>
	<li>	<a href="#Resulting perspective view">
		Resulting perspective view</a>
	<li>	<a href="#3 ways to implement this">
		3 ways to implement this</a>
	<li>	<a href="#Depth of field">
		Depth of field</a>
	</ul>
</ul>

<p>
Press here for <a href="persp1.html">part I</a> of this lecture.

<p>
<hr>

<a name="Derivation of 3D - 2D perspective matrix"></a>
<img src="persp8.gif">
<hr>

<a name="Homogeneous formulation, 3D - distorted 3D"></a>
<a name="Source and target spaces"></a>
<img src="persp9.gif">
<hr>

<a name="Derivation for x' and y'"></a>
<img src="persp10.gif">
<hr>

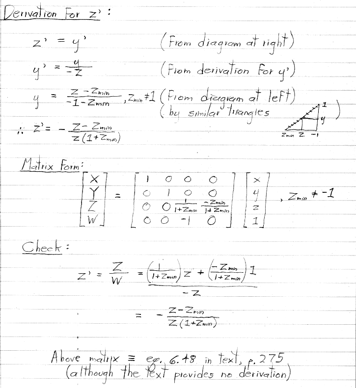
<a name="Derivation for z'"></a>
<img src="persp11.gif">
<hr>

<a name="Clipping before versus after homogenization"></a>
<img src="persp12.gif">
<hr>

<a name="The matrix we derived versus the SGI matrix"></a>
<img src="persp12.1.gif">
<hr>

<a name="Summary of pipeline"></a>
<img src="persp13.gif">
<hr>

<a name="Continuous convolution, one pixel"></a>
<a name="Discrete convolution, all pixels"></a>
<a name="Resulting perspective view"></a>
<img src="persp14.gif">
<hr>

<a name="3 ways to implement this"></a>
<a name="Depth of field"></a>
<img src="persp14.1.gif">
<hr>

<address>
levoy@cs.stanford.edu
</address>
Friday, 20-Feb-1998 13:46:34 PST

</body>
</html>
