<html>
<head>
<title>
Digital compositing
</title>
</head>
<body>

<h2>
Digital compositing
</h2>

<blockquote>
CS 248 - Introduction to Computer Graphics
<br>
Spring Quarter, 1995
<br>
Marc Levoy
<br>
Lecture notes for Tuesday, May 8 (first half of class period)
<br>
</blockquote>


<p>
<hr>

<h3>Table of contents:</h3>
<ul>
<li>	<a href="#Definition of digital compositing">
	Definition of digital compositing</a>
<li>	<a href="#1-bit matte">
	1-bit matte</a>
<li>	<a href="#Alpha channel matte (8 bit matte)">
	Alpha channel matte (8 bit matte)</a>
<li>	<a href="#Deriving alpha mattes">
	Deriving alpha mattes</a>
<li>	<a href="#The compositing approximation">
	The compositing approximation</a>
<li>	<a href="#The assumption of uncorrelated mattes">
	The assumption of uncorrelated mattes</a>
<li>	<a href="#The compositing algebra">
	The compositing algebra</a>
<li>	<a href="#To summarize">
	To summarize</a>
<li>	<a href="#How bad are the errors?">
	How bad are the errors?</a>
<li>	<a href="#Relationship to transparency">
	Relationship to transparency</a>
</ul>

<p>
<hr>

<a name="Definition of digital compositing"></a>
<a name="1-bit matte"></a>
<img src="comp2.gif">
<hr>

<a name="Alpha channel matte (8 bit matte)"></a>
<img src="comp3.gif">
<hr>

<a name="Deriving alpha mattes"></a>
<img src="comp4.gif">
<hr>

<a name="The compositing approximation"></a>
<img src="comp5.gif">
<hr>
<img src="comp6.gif">
<hr>

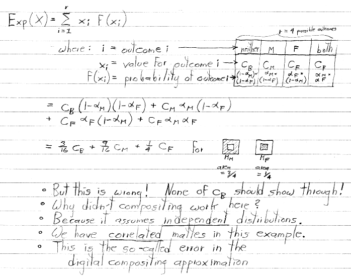
<a name="The assumption of uncorrelated mattes"></a>
<img src="comp7.gif">
<hr>

<a name="The compositing algebra"></a>
<img src="comp8.gif">
<img src="comp9.gif">
<hr>

<a name="To summarize"></a>
<a name="How bad are the errors?"></a>
<a name="Relationship to transparency"></a>
<img src="comp10.gif">
<hr>

<address>
levoy@cs.stanford.edu
</address>
Friday, 20-Feb-1998 13:46:34 PST

</body>
</html>
