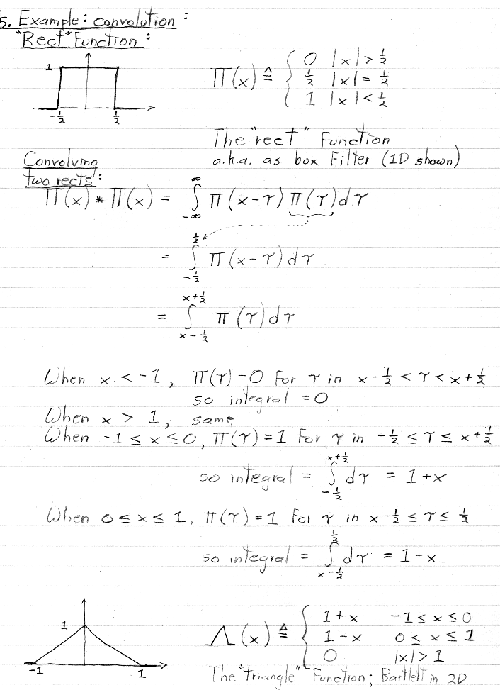
Introduction to sampling theory

CS 248 - Introduction to Computer Graphics
Autumn Quarter, 2008
Marc Levoy
Lecture notes for Thursday, October 2 (second half of class, finished Oct. 7)


Table of contents:




levoy@cs.stanford.edu
Copyright © 2008 Marc Levoy
Last update: October 1, 2008 01:51:48 PM