Aliasing and antialiasing
CS 248 - Introduction to Computer Graphics
Autumn Quarter, 2005
Marc Levoy
Lecture notes for Tuesday, October 11
Table of contents:
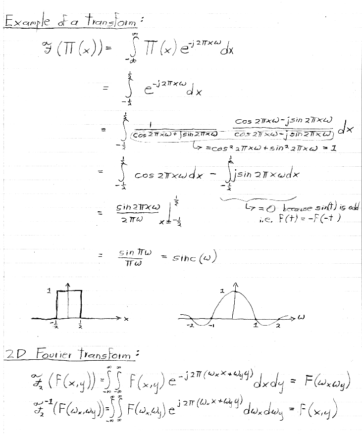
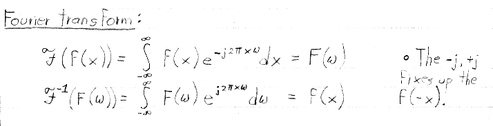
- Frequency domain analysis of sampling (a quick tour)
- What's the best way to prevent aliasing?
Press here for handout #6:
Sampling and reconstruction.
levoy@cs.stanford.edu
Copyright © 2005 Marc Levoy
Last update:
October 11, 2005 04:55:12 PM