Antialiasing strategies
CS 248 - Introduction to Computer Graphics
Autumn Quarter, 2003
Marc Levoy
Lecture notes for Tuesday, October 14 (second half of class)
Table of contents:
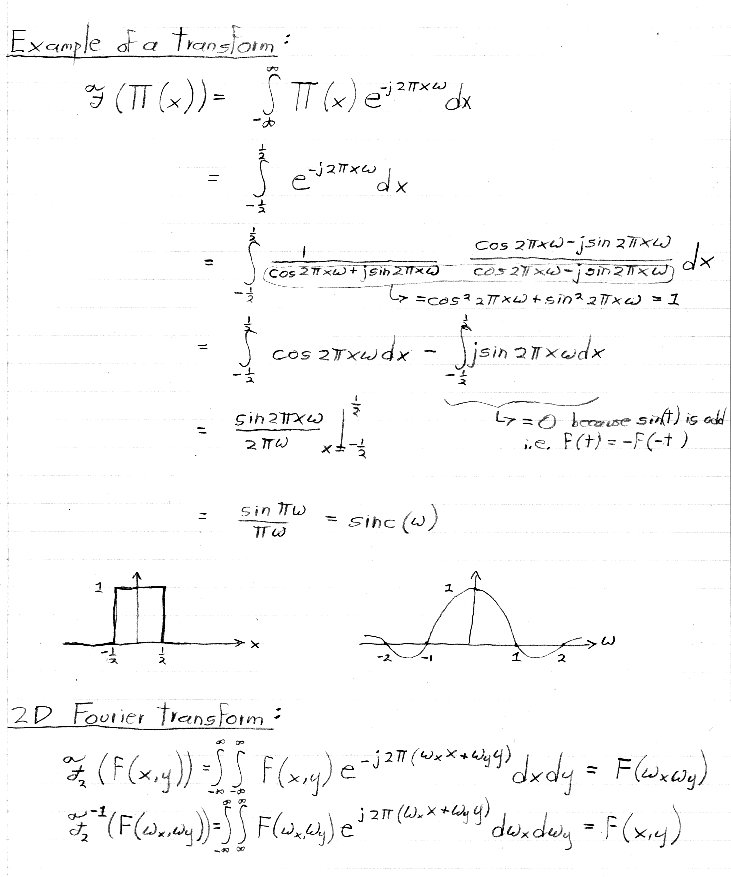
- Frequency domain analysis of sampling (continued)
- What's the best way to prevent aliasing?
Press here for handout #6:
Sampling and reconstruction.
levoy@cs.stanford.edu
Copyright © 2003 Marc Levoy
Last update:
October 16, 2003 06:16:15 PM