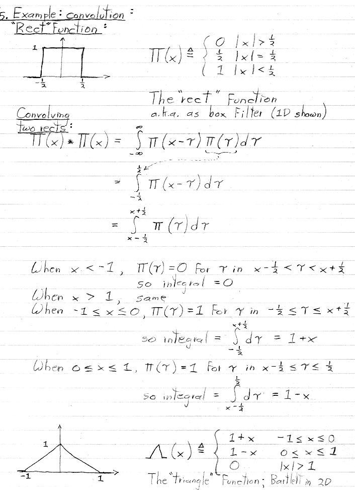
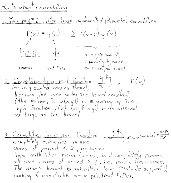
Sampling theory, aliasing

CS 248 - Introduction to Computer Graphics
Autumn Quarter, 2002
Marc Levoy
Lecture notes for Thursday, October 10


Table of contents:










levoy@cs.stanford.edu
Copyright © 2002 Marc Levoy
Last update: October 9, 2002 06:53:01 PM