CS 178 - Digital Photography (Spring 2009)



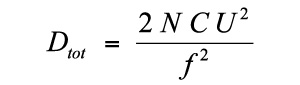
What's inside a digital camera? This is a cutaway view of the Canon Digital Rebel 1000D. Here's a more instructive diagram, showing the main optical paths. We'll take apart a camera in class. Most photography books talk about depth of field and depth of focus, but few of them give a formula for it. Here it is. N is the F-number, f is focal length, C is pixel size, and U is distance to the scene. We'll study this formula in class. This is a tough shot, because the arcade ceiling is much darker than the courtyard beyond. I solved it by combining three exposures, an idea called "high dynamic range" imaging. You don't need a special camera for this; we'll try it in class. Here are more shots from India. Dorothea Lange's iconic portrait of a migrant mother during the Great Depression. We'll survey the history of photography, and we'll spend a lot of time taking pictures.


Course materials

Click here for the 2010 version of the course (with better lecture notes, more applets, etc.)


© 2009 Marc Levoy
Last update: May 28, 2010 02:11:20 PM